Rysunek 4. zależność czasu stałej matrycy, uzyskana z pomiarów in situ XRD na 700 ◦ C. Obserwowaliśmy monotoniczne zmniejszenie parametru kraty, wskazujące, że ciężkie elementy, takie jak Nb i Mo stopniowo rozchodzą się z ciała stałego.-Roztworowa matryca i przyczynianie się do jądra i wzrostu fazy telefunkcyjnej 948; Niepewność odnotowana w tej liczbie i poniżej przedstawia jedno standardowe oświadczenie, chyba że określono inaczej.
Dodatkowo, zmiana w parametrze matrycowej siatki ciała stałego-stopu roztworu jest związany z rozmiarem wytrącenia [40]. W AM IN625 różnica w parametrach matrycy przed i po obróbce cieplnej 10 h przy 870 ◦ C było ≈ 0.0042, zabójstwa w obie strony; W porównaniu, parametr kraty zmieniony przez ≈ 0.0015 1977;po obróbce cieplnej 10.5 h na 700 ◦ C, co sugeruje znacznie mniejszą ilość opadów 94fa28faza w tym umiarkowanym tempieOczywiście.
IN625, jak zaprojektowane, jest pojedynczym-szybkowar stopu fazowegoe wytrzymałość pochodzi głównie z twardego roztworu wzmacniającego się od Mo, Nb i Cr [1]. Gdziee Ponieważ oczekuje się, że wyczerpywanie Mo i Nb z matrycy zmniejszy wytrzymałość, powstawanie osadów może zrekompensować tę redukcję i zwiększyć ogólną wytrzymałość IN625. Na przykład, wykonany plastycznie IN625 osiąga szczytową twardość po obróbce cieplnej 170 h na 700 ◦ C, które jestgłównie ze względu na opady w fazie 947; faza, prekursor fazy lotomiarc48;faza 41. Podobnie, opady w fazie lotomiarc48;faza zwiększa również ogólną wytrzymałość i zmniejsza wydajność [37]. W przypadku AM IN625 wymagana jest systematyczna ocena wpływu obróbki cieplnej na wła ściwości mechaniczne w zakresie temperatur i jest koniecznaTak.
W trakcie obróbki cieplnej zmienia się również komórka jednostkowa 9488. Rysunek 5 ilustruje tę zmianę. Spośród trzech parametrów siatki ortorombowej (rys. 5a, 28211c), dwa są niemal stałe przy ≈ 5.108 w wymiarze ogólnym; ≈ 4.232, odpowiednio. Trzeci parametr kraty pokazuje monotoniczny wzrost od ≈ 4.482 do ≈ 4.488 in. Wiadomo, że oś długa fazy 94loto8; faza ta zgadza się z bliskością-pakowane kierunki matrycy FCC oraz kierunki krystalograficzne pomiędzy matrycą FCC a fazami w fazie przewijania {111}FCC//(100)948;i FCC//[100]948;10]. Na podstawie tego wnioskujemy, że dyfuzja Nb i Mo jest także kierunkowa. Ponieważ dyfuzja Mo z matrycy do 948;faza występuje wolniej niż w Nb [42], dyfuzja kierunkowa może prowadzić do zmiany w zakresie chemioterapii w fazach i zwiększenia pojemności komórek jednostkowych, jak wskazano na rysunku 5d.
Rysunek 5. (a) Odległość czasowa trzech parametrów kratowniczych opadów międzyfazowych, nabyta w wyniku pomiarów in situ XRD na 700 ◦ C. d) Objętość komórki jednostkowej w przypadku fazy loteryjnej 948;Tak.
Dane uzyskane na miejscu SAXS o tej samej objęto ści próbki w czasie obróbki cieplnej izotermicznej również umożliwiają zbadanie statystycznie istotnej kinetyki transformacji mikrostruktury materiału. Rysunek 6 pokazuje pełny zbiór danych, przy czym dane USAXS stanowią główny wykres i dane SAXS pokazane na insecie. Dla spójności, dane rozpraszające są kolorem-kodowane przy użyciu tej samej skali kolorów co dane XRD na rysunku 3. Dane rozpraszające mają trzy zauważalne cechy. Po pierwsze, za bardzo niskie-q część danych rozpraszających ( ≈ 1 215; 10 − 4 zabójstwa typu 197; − 1 do ≈ 4 215; 10 − 4 zabójstwa typu 197; − 1), zaobserwowaliśmy moc-nachylenie prawa, które nie zmienia się w funkcji czasu. Tę cechę przypisujemy do ziarna rozpraszanie, które jest podobne do wcześniejszych prac nad Ni-na bazie nadstopów [21,43] i aluminium Stopy [44,45]. Wzrost ziarna w IN625 jest minimalny dla temperatur poniżej 900 ◦ C [46]. Dlatego oczekuje się, że rozrzut ziarna będzie stabilny, co jest zgodne z obserwacjami doświadczalnymi. Po drugie, zaobserwowaliśmy monotoniczny wzrost natężenia rozpraszania między ≈ 4 215; 10 − 4 zabójstwa typu 197; − 1 i ≈ 0.01 197; − 1,, w szczególności z dwoma regionami Guinier w pobliżu 2 ‘2D215; 10’ − 3.1977; − 1 i 8 η 10 − 3.1977; − 1 odpowiednio. Ponieważ dane in situ XRD i ex situ SEM pokazują jedynie opady fazowe, przypisujemy ten sygnał rozpraszający do fazy telecombal88. Poprzednie badania mikroskopowe wykazały, że wytrącenia fazowe typu 948;to płytki o dwóch charakterystycznych rozmiarach [10,21,47], co jest zgodne z obserwacją dwóch regionów Guiniera w danych rozpraszających. Wreszcie, dane SAXS przedstawione w insecie są prostymi rozszerzeniami dużej mocy q-nachylenie prawa w danych USAXS; tj. dane SAXS nie zawierają dodatkowych informacji, co wskazuje, że nie ma dodatkowego nm-wielkości opadów powstałych podczas obróbki cieplnej.
Rysunek 6-ty. Dane SAXS in situ dotyczące AM IN625 uzyskane w czasie obróbki cieplnej izotermicznej na 700 ◦ C dla 10.5 h. Główny wykres i inset pokazują odpowiednio dane USAXS i SAXS. Czas przejęcia jest kolorem-zakodowane zgodnie z strzałką w czasie. Intensywność USAXS jest rozcięta-rozmazaneTak.
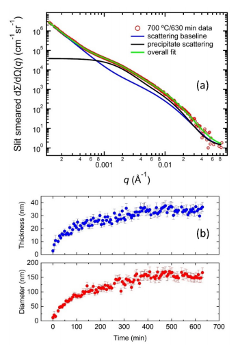
Stworzyliśmy model rozpraszający, który opisuje dane rozpraszające oparte na tych obserwacjach, jak przedstawiono na rysunku 7a. Wykorzystując dane USAXS uzyskane przy 630 min do doświadczenia in situ jako przykład, model ten składa się z dwóch komponentów. Pierwszym składnikiem jest linia rozpraszania, która jest uzyskiwana na tej samej objętości próbki w temperaturze pokojowej przed obróbką cieplną. Drugi element stanowi nadmiar rozrządu pochodzącego z opadów w fazie całkowitego 948; Jak ustalono wcześniej [21], opisano to nadmierne rozpraszanie przy użyciu podejścia analitycznego analogicznego do ujednoliconej metody rozrzucania drobnych kątów z dwoma poziomami rozpraszania [48]. Razem, ta dwójka-Model komponentu opisuje dane in situ SAXS przez całą sekwencję danychTak.
Rysunek 7. a) ilustracja modelu SAXS stosowanego w tej pracy. Dane uzyskano o o 630 min podczas obróbki cieplnej na 700. ◦ C. Rozpryskiwanie chmur składa się z dwóch części: (1) rozrzucania linii podstawowej i (2) nadmiernego rozpraszania się w przypadku opadów z fazy Omówi948;opadów fazowych. b) Czas-zależna ewolucja średniej średnicy (dużego wymiaru) i grubości (niewielkiego wymiaru) w przypadku opadów fazowych w lotach typu tele 948;Tak.

Stanowisko: Product manager
Departament: Market Department
Telefon służbowy: +86 021-59150215
E-mail: Skontaktuj się z nami
Telefon komórkowy: +86 13817160919
Stronie internetowej: lanzhusuperalloy.plvipb2b.com
Adres: No. 2800 Caoxin Road, Xuhang Town, Jiading District, Shanghai